- 问题求解一个三角形的三条边长分别是6,8,10,那么最长边的高是()。

- A 、4
- B 、4.5
- C 、4.8
- D 、5
- E 、6

扫码下载亿题库
精准题库快速提分
参考答案【正确答案:C】
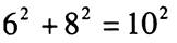
如图所示,由于
,可知ΔABC为直角三角形,三角形面积
。从而 h=4.8。
您可能感兴趣的试题- 1 【条件充分性判断】 ΔABC的边长分别为a,b,c,则ΔABC为等边三角形。() (1)
(2)(a-b+c)(b-c)=0 - A 、 条件(1)充分,但条件(2)不充分
- B 、 条件(2)充分,但条件(1)不充分
- C 、 条件(1)和(2)单独都不充分,但条件(1)和条件(2)联合起来充分
- D 、 条件(1)充分,条件(2)也充分
- E 、 条件(1)和条件(2)单独都不充分,条件(1)和(2)联合起来也不充分
- 2 【条件充分性判断】 已知三角形ABC的三条边长分别为a,b,c。则三角形ABC是等腰直角三角形。() (1)
(2)
- A 、条件(1)充分,但条件(2)不充分
- B 、条件(2)充分,但条件(1)不充分
- C 、条件(1)和(2)单独都不充分,但条件(1)和条件(2)联合起来充分
- D 、条件(1)充分,条件(2)也充分
- E 、条件(1)和条件(2)单独都不充分,条件(1)和(2)联合起来也不充分
- 3 【条件充分性判断】 △ABC的边长分别为a,b,c,则△ABC为直角三角形。() (1)
(2)△ABC的面积为
- A 、条件(1)充分,但条件(2)不充分
- B 、B.条件(2)充分,但条件(1)不充分
- C 、条件(1)和(2)单独都不充分,但条件(1)和条件(2)联合起来充分
- D 、条件(1)充分,条件(2)也充分
- E 、条件(1)和(2)单独都不充分,条件(1)和条件(2)联合起来也不充分
- 4 【条件充分性判断】已知三角形ABC的三条边长分别为a,b,c,则三角形ABC是等腰直角三角形。() (1)
(2)
- A 、条件(1)充分,但条件(2)不充分
- B 、条件(2)充分,但条件(1)不充分
- C 、条件(1)和(2)单独都不充分,但条件(1)和条件(2)联合起来充分
- D 、条件(1)充分,条件(2)也充分
- E 、条件(1)和(2)单独都不充分,条件(1)和条件(2)联合起来也不充分
- 5 【条件充分性判断】△ABC的边长分别为a,b,c,则△ABC为直角三角形。() (1)
(2)△ABC的面积为
- A 、条件(1)充分,但条件(2)不充分
- B 、条件(2)充分,但条件(1)不充分
- C 、条件(1)和(2)单独都不充分,但条件(1)和条件(2)联合起来充分
- D 、条件(1)充分,条件(2)也充分
- E 、条件(1)和(2)单独都不充分,条件(1)和条件(2)联合起来也不充分
- 6 【条件充分性判断】方程
有实根。() (1)a,b,c是一个三角形的边长 (2)实数a,c,b成等差数列 - A 、条件(1)充分,但条件(2)不充分
- B 、条件(2)充分,但条件(1)不充分
- C 、条件(1)和(2)单独都不充分,但条件(1)和条件(2)联合起来充分
- D 、条件(1)充分,条件(2)也充分
- E 、条件(1)和(2)单独都不充分,条件(1)和条件(2)联合起来也不充分
- 7 【问题求解】直角三角形的一个内角是30°,面积是
,则其斜边长是()。 
- A 、

- B 、

- C 、

- D 、

- E 、

- 8 【问题求解】等腰直角三角形的斜边长为5,则它的直角边长为()。

- A 、

- B 、

- C 、

- D 、

- E 、

- 9 【问题求解】等边三角形的面积是
,则它的周长是()。 - A 、24
- B 、32
- C 、

- D 、

- E 、

- 10 【条件充分性判断】等腰三角形的面积为
。() (1)等腰三角形两边长为4和6 (2)等腰三角形两边长为3和5 - A 、条件(1)充分,但条件(2)不充分
- B 、条件(2)充分,但条件(1)不充分
- C 、条件(1)和(2)单独都不充分,但条件(1)和条件(2)联合起来充分
- D 、条件(1)充分,条件(2)也充分
- E 、条件(1)和(2)单独都不充分,条件(1)和条件(2)联合起来也不充分
热门试题换一换
- All science students,( ), should have a good foundation in basic sciences.
- 东宇大学公开招聘3个教师职位,哲学学院、管理学院和经济学院各一个。每个职位都有分别来自南山大学、西京大学、北清大学的候选人,有位“聪明”人士李先生对招聘结果做出了如下预测: 如果哲学学院录用北清大学的候选人,那么管理学院录用西京大学的候选人;如果管理学院录用南山大学的候选人,那么哲学学院也录用南山大学的候选人;如果经济学院录用北清大学或者西京大学的候选人,那么管理学院录用北清大学的候选人。 若哲学学院最终录用西京大学的候选人,则以下哪项表明李先生的预测错误()。
- 由于中国代表团没有透彻地理解奥运会的游戏规则,因此在伦敦奥运会上,无论是对赛制赛规的批评建议,还是对裁判执法的质疑,前后几度申诉都没有取得成功。为使上述推理成立,必须补充以下哪一项作为前提()。
- 如图,在直角坐标系xOy中,矩形OABC的顶点B的坐标是(6,4),则直线l将矩形OABC分成了面积相等的两部分。() (1)l:x-y-1=0 (2)l:x-3y+3=0
- 已知 当x=0时,那么y可用x来表示的式子是()。
- 已知P(A)=0.5,P(B)=0.4且P(A-B)=0.3,则()。
- 。() (1)盒中共有大小相同的3只白球,1只黑球,从中随机摸出两只球,则它们颜色不同的概率是p (2)身高不同的6人排成二行三列,恰巧每列前面的人比后面的人矮的概率为p
- 当m<-1时,方程的根的情况是()。
亿题库—让考试变得更简单
已有600万用户下载
PWrol
