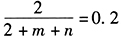
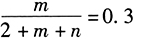
- 条件充分性判断 在一个不透明的布袋中装有2个白球、m个黄球和若干个黑球,它们只有颜色不同,则m=3。() (1)从布袋中随机摸出一个球,摸到白球的概率是0.2 (2)从布袋中随机摸出一个球,摸到黄球的概率是0.3
- A 、条件(1)充分,但条件(2)不充分
- B 、条件(2)充分,但条件(1)不充分
- C 、条件(1)和(2)单独都不充分,但条件(1)和条件(2)联合起来充分
- D 、条件(1)充分,条件(2)也充分
- E 、条件(1)和(2)单独都不充分,条件(1)和条件(2)联合起来也不充分

扫码下载亿题库
精准题库快速提分
参考答案【正确答案:C】
不妨设袋中有n个黑球。
由条件(1),
由条件(2),
,即条件(1)和(2)单独都不充分。
联合条件(1)和条件(2),解得m=3,n=5。
您可能感兴趣的试题- 1 【问题求解】一个水池,上部装有若干同样粗细的进水管,底部装有一个常开的排水管,当打开4个进水管时,需要4小时才能注满水池;当打开3个进水管时,需要8个小时才能注满水池。现在需要2个小时内将水池注满,至少要打开进水管()个。
- A 、8
- B 、7
- C 、6
- D 、5
- E 、4
- 2 【逻辑推理】要从赵、钱、孙、李、周、吴六个侦查员中挑选若干人去破案,入选的配备要求必须注意下列各点:①赵、钱两人中至少去一人;②赵、李不能一起;③赵、周、吴三人中至少要派两人去;④钱、孙两人都去或都不去;⑤孙、李两人中去一人;⑥若李不去,则周也不去。 由此可知以下哪项是符合要求的人选()。
- A 、赵、钱、吴三人去
- B 、赵、钱、孙、吴四人去
- C 、钱、孙、周三人去
- D 、钱、孙、李、周四人去
- E 、赵、钱、孙、周、吴五人去
- 3 【条件充分性判断】 已知袋中有红、黑、白三球若干个,红球最多。() (1)随机取出一球是白球的概率为2/5 (2)随机取出两球,两球中至少一黑的概率小于1/5
- A 、条件(1)充分,但条件(2)不充分
- B 、条件(2)充分,但条件(1)不充分
- C 、条件(1)和(2)单独都不充分,但条件(1)和条件(2)联合起来充分
- D 、条件(1)充分,条件(2)也充分
- E 、条件(1)和(2)单独都不充分,条件(1)和条件(2)联合起来也不充分
- 4 【条件充分性判断】已知袋中有红、黑、白三种颜色的球若干个,则红球最多。() (1)随机取出的一球是白球的概率为
(2)随机取出的两球中至少有一个黑球的概率小于
- A 、条件(1)充分,但条件(2)不充分
- B 、条件(2)充分,但条件(1)不充分
- C 、条件(1)和(2)单独都不充分,但条件(1)和条件(2)联合起来充分
- D 、条件(1)充分,条件(2)也充分
- E 、条件(1)和(2)单独都不充分,条件(1)和条件(2)联合起来也不充分
- 5 【条件充分性判断】一个蓄水池装有两个水管,一个进水管,一个出水管,则两管齐开,将空水池注满需要50小时。() (1)单开进水管,20小时可以将空水池注满 (2)单开出水管,30小时可以将满池水放完
- A 、条件(1)充分,但条件(2)不充分
- B 、条件(2)充分,但条件(1)不充分
- C 、条件(1)和(2)单独都不充分,但条件(1)和条件(2)联合起来充分
- D 、条件(1)充分,条件(2)也充分
- E 、条件(1)和(2)单独都不充分,条件(1)和条件(2)联合起来也不充分
- 6 【简答题】从袋中任取6个球,求所取的球恰好含4个白球,2个黑球的概率。
- 7 【简答题】求10个样品中恰有2个一级品的概率。
- 8 【问题求解】袋中有5个白球和3个黑球,从中任取2个,则取得两球同色的概率是()。
- A 、

- B 、

- C 、

- D 、

- E 、

- 9 【问题求解】在某次实验中,三个试管各盛水若干克,现将浓度为12%的盐水10克倒入A管中,混合后取10克倒入B管中,混合后再取10克倒入C管中,结果是A、B、C三个试管中盐水的浓度分别为6%,2%,0.5%,那么三个试管中原来盛水最多的试管及其盛水量各是()。
- A 、A试管,10克
- B 、B试管,20克
- C 、C试管,30克
- D 、B试管,40克
- E 、C试管,50克
- 10 【条件充分性判断】Ⅳ=864。() (1)从1~8这8个自然数中,任取2个奇数、2个偶数,可组成Ⅳ个不同的四位数 (2)从1~8这8个自然数中,任取2个奇数,作为千位和百位数字,取2个偶数,作为十位和个位数字,可组成Ⅳ个不同的四位数
- A 、条件(1)充分,但条件(2)不充分
- B 、条件(2)充分,但条件(1)不充分
- C 、条件(1)和(2)单独都不充分,但条件(1)和条件(2)联合起来充分
- D 、条件(1)充分,条件(2)也充分
- E 、条件(1)和(2)单独都不充分,条件(1)和条件(2)联合起来也不充分
热门试题换一换
- In today's class, the students were asked to()their mistakes on the exam paper and put intheir possible corrections.
- 商店以每张21元的价格进了一批礼品,共卖1457元。若每张的售价相同,且不超过买入价格的两倍,则商店赚了()元。
- 除非护士职业内的低工资和高度紧张的工作条件问题得到解决,否则护士学校就不能吸引到比目前数量更多的有才干的申请者。如果护士学校的有才干的申请者的数量不能超过目前的水平,那么,要么这种职业必须降低它的进入标准,要么很快就会出现护士紧缺的局面。然而,降低进入标准并不一定能解决护士的不足。很明显,不管是护士不足还是降低这个职业的进入标准,目前高质量的健康护理都不能维持下去。 下面哪一项可以从上述短文中合理地推出()。
- 一会议组织者必须选出3个人来讨论一位应邀演讲者的论文。这3名参加讨论的人将从7名志愿者中选出。已知这7个人中有4个人:甲、乙、丙和丁对该演讲者的理论观点持赞成态度,其余的3个人:赵、钱和孙对该演讲者的理论观点持反对态度。组织会议的人在选择参加讨论的人时必须遵从以下原则: (1)赞成的人中至少有一个当选,反对的人中也至少有一人当选; (2)甲入选时,钱不能入选; (3)丙和丁要么同时当选,要么同时落选; (4)乙和孙要么同时当选,要么同时落选。 讨论小组的成员中必定包括()。
- 在经济发展萧条期,消费需求的萎缩导致许多企业解雇职工甚至倒闭。在萧条期,被解雇的职工很难找到新的工作,这就增加了失业人数。萧条之后的复苏,是指消费需求的增加和社会投资能力的扩张。这种扩张要求增加劳动力。但是经历了萧条之后的企业主,大都丧失了经商的自信,他们尽可能地推迟雇用新的职工。 上述断定结果为真,最能支持以下哪项结论()。
- 将算出,其个位上的数字应为() 。
亿题库—让考试变得更简单
已有600万用户下载
7jwVk
