- 问题求解设A、B分别是圆周
上使得
取到最大值和最小值的点,0是坐标原点,则LAOB的大小为 ()。 - A 、

- B 、

- C 、

- D 、

- E 、


扫码下载亿题库
精准题库快速提分
参考答案【正确答案:B】
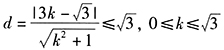
所给圆的圆心为
,半径为
,令
,则直线y= kx与圆有公共点(x,y),从而圆心
到直线kx -y=0的距离d满足
,即
的最大值为
,最小值为0。
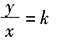
如图所示,∠AOB是直线
与y=0(x轴)的夹角,从而是
的倾斜角,因此
。
您可能感兴趣的试题- 1 【问题求解】 已知直线ax-by+3=0(a>0,b>0)过圆
的圆心,则a×b的最大值为()。 - A 、9/16
- B 、11/16
- C 、3/4
- D 、9/8
- E 、9/4
- 2 【条件充分性判断】 已知
,
表示前n项的和,则
中最小值是
。() (1)
(2)
- A 、条件(1)充分,但条件(2)不充分
- B 、条件(2)充分,但条件(1)不充分
- C 、条件(1)和(2)单独都不充分,但条件(1)和条件(2)联合起来充分
- D 、条件(1)充分,条件(2)也充分
- E 、条件(1)和条件(2)单独都不充分,条件(1)和(2)联合起来也不充分
- 3 【条件充分性判断】 已知a>0,b>0,ab=8,则当a=n时,
取得最大值。() (1)n=2 (2)n=4 - A 、条件(1)充分,但条件(2)不充分
- B 、条件(2)充分,但条件(1)不充分
- C 、条件(1)和条件(2)单独都不充分,但条件(1)和条件(2)联合起来充分
- D 、条件(1)充分,条件(2)也充分
- E 、条件(1)和条件(2)单独都不充分,条件(1)和条件(2)联合起来也不充分
- 4 【条件充分性判断】 设a,b,c为实数,则|a|+|b|+|c|的最小值为6 (1)a+b+c=2 (2)abc=4
- A 、条件(1)充分,但条件(2)不充分
- B 、条件(2)充分,但条件(1)不充分
- C 、条件(1)和条件(2)单独都不充分,但条件(1)和条件(2)联合起来充分
- D 、条件(1)充分,条件(2)也充分
- E 、条件(1)和条件(2)单独都不充分,条件(1)和条件(2)联合起来也不充分
- 5 【条件充分性判断】
的最大值是
。() (1)圆0的方程是
(2)动点P(x,y)在圆O上运动 - A 、条件(1)充分,但条件(2)不充分
- B 、条件(2)充分,但条件(1)不充分
- C 、条件(1)和(2)单独都不充分,但条件(1)和条件(2)联合起来充分
- D 、条件(1)充分,条件(2)也充分
- E 、条件(1)和条件(2)单独都不充分,且条件(1)和条件(2)联合起来也不充分
- 6 【问题求解】已知f(x)=|x-1|-2|x|+|x+2|,且-2≤x≤1,则f(x)的最大值和最小值的和为()。
- A 、0
- B 、1
- C 、2
- D 、3
- E 、-2
- 7 【问题求解】设P(x,y)为圆
上任意一点,则
的最小值是()。 - A 、0
- B 、-1
- C 、

- D 、

- E 、1
- 8 【问题求解】实数x,y满足
,则
的最大值和最小值分别为()。 - A 、

- B 、

- C 、

- D 、

- E 、以上结论均不正确
- 9 【条件充分性判断】 一个等差数列
的前n项和
取得最大值时n的值是21。() (1)
(2)
- A 、条件(1)充分,但条件(2)不充分
- B 、 条件(2)充分,但条件(1)不充分
- C 、 条件(1)和(2)单独都不充分,但条件(1)和条件(2)联合起来充分
- D 、 条件(1)充分,条件(2)也充分
- E 、 条件(1)和(2)单独都不充分,条件(1)和条件(2)联合起来也不充分
- 10 【条件充分性判断】 一个等差数列
的前n项和
取得最大值时n的值是21。() (1)
(2)
- A 、条件(1)充分,但条件(2)不充分
- B 、 条件(2)充分,但条件(1)不充分
- C 、条件(1)和(2)单独都不充分,但条件(1)和条件(2)联合起来充分
- D 、 条件(1)充分,条件(2)也充分
- E 、 条件(1)和(2)单独都不充分,条件(1)和条件(2)联合起来也不充分
热门试题换一换
- Mary once()with another musician to compose a piece of pop music.
- 某省围棋队教练从甲、乙、丙、丁、戊、己、庚这7名队员中挑选4名参加职业联赛,挑选必须符合下列条件: (1)甲或乙有一人参加,但二人不能都参加; (2)戊或己有一人参加,但二人不能都参加; (3)如果戊参加,则丙参加; (4)除非乙参加,否则庚不参加。 以下哪项列出的队员不可能共同参加比赛()。
- 某个实验把一批吸烟者作为对象。实验对象分为两组:第一组是实验组;第二组是对照组。实验组的成员被强制戒烟,对照组的成员不戒烟。三个月后,实验组成员的平均体重增加了10%,而对照组成员的平均体重基本不变。实验结果说明,戒烟会导致吸烟者的体重增加。 以下哪项如果为真,最能加强上述实验结论的说服力()。
- 某中学发现有学生课余用扑克玩带有赌博性质的游戏,因此规定学生不得带扑克进入学校。不过即使是硬币,也可以用作赌具,但禁止学生带硬币进入校园是不可思议的。因此禁止学生带扑克进入学校是荒谬的。 以下哪项如果为真,最能削弱上述论证()。
- Bashar al-Assad
- 图中 ,阴影甲的面积比阴影乙的面积多28平方厘米,AB=40厘米,CB垂直AB,则BC的长为()厘米。(π取到小数点后两位。)
- 产品出厂前需要在外包装上打印某些标志,甲、乙两人一起每小时可完成600件,则可以确定甲每小时完成的件数。() (1)乙的打件速度是甲的打件速度的 (2)乙工作5小时可以完成1000件
- (2008年)点(2,3)关于直线x+y=0的对称点是()。
- For Latins
- 43.()
- According to the writer, how did the young scientists feel before the flight?
亿题库—让考试变得更简单
已有600万用户下载
5GDM8
