- 计算分析题
题干:股票A和股票B的部分年度资料如下:[1479201704221-image/0584.jpg]
题目:如果投资组合中,股票A占40%,股票B占60%,该组合的期望报酬率和标准差是多少?(提示:自行列表准备计算所需的中间数据,中间数据及计算结果保留小数点后4位)

扫码下载亿题库
精准题库快速提分
参考答案期望报酬率=22%×40%+26%×60%=24.4%
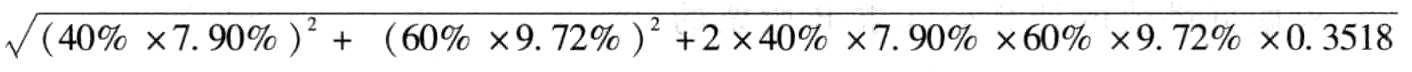
标准差=
=7.55%。
您可能感兴趣的试题- 1 【多选题】如果组合中包括了全部股票,则投资人( )。
- A 、只承担市场风险
- B 、只承担特有风险
- C 、只承担非系统风险
- D 、只承担系统风险
- 2 【单选题】如果持有股票的投资者预测股票市价可能大幅下跌,适合使用的期权投资策略是()。
- A 、保护性看跌期权
- B 、抛补看涨期权
- C 、多头对敲
- D 、空头对敲
- 3 【综合题(主观)】如果投资组合中,股票A占40%,股票B占60%,该组合的期望收益率和标准差是多少? 提示:自行列表准备计算所需的中间数据,中间数据保留小数点后4位。
- 4 【多选题】如果组合中包括了全部股票,则投资人()。
- A 、只承担市场风险
- B 、只承担特有风险
- C 、只承担非系统风险
- D 、只承担系统风险
- 5 【计算分析题】如果投资组合中,股票A占40%,股票B占60%,该组合的期望收益率和标准差是多少? 提示:自行列表准备计算所需的中间数据,中间数据保留小数点后4位。
- 6 【计算分析题】如果投资组合中,股票A占40%,股票B占60%,该组合的预期报酬率和标准差是多少?
- 7 【单选题】某投资者以每股40元的价格购得A股票2000股,在A股票市场价格为每股25元时,上市公司宣布配股,配股价每股16元,每10股配新股2股。则下列说法不正确的有( )。
- A 、配股后的除权价为23.5元
- B 、配股比率为0.2
- C 、配股权价值为1.5元
- D 、配股权价值为1.35元
- 8 【多选题】某投资者以每股40元的价格购得A股票2000股,在A股票市场价格为每股25元时,上市公司宣布配股,配股价每股16元,每10股配新股2股。则下列说法正确的有( )。
- A 、配股后的除权价为23.5元
- B 、配股比率为0.2
- C 、配股权价值为1.5元
- D 、配股权价值为1.35元
- 9 【多选题】如果组合中包括了全部股票,则投资人()。
- A 、只承担市场风险
- B 、只承担特有风险
- C 、只承担非系统风险
- D 、只承担系统风险
- 10 【计算分析题】如果股票的价格为24.89元,计算股票的期望报酬率(精确到1%)。
热门试题换一换
- 资料:(1)A公司是一个钢铁企业,拟进入前景看好的汽车制造业。现找到一个投资机会,利用B公司的技术生产汽车零件,并将零件出售给B公司。B公司是一个有代表性的汽车零件生产企业。预计该项目需固定资产投资750万元,可以持续五年。会计部门估计每年固定成本为(不含折旧)40万元,变动成本是每件180元。固定资产折旧采用直线法,折旧年限为5年,估计净残值为50万元。营销部门估计各年销售量均为40000件,B公司可以接受250元/件的价格。生产部门估计需要250万元的营运资本投资。(2)A和B均为上市公司,A公司的贝塔系数为0.9,资产负债率为50%;B公司的贝塔系数为1.149,资产负债率为30%。(3)A公司不打算改变当前的资本结构。目前的借款利率为10%。(4)无风险资产报酬率为4.3%,市场组合的预期报酬率为9.3%。(5)假设所得税率为20%。(6)如果该项目在任何一年出现亏损,公司将会得到按亏损额的20%计算的所得税抵免。要求:(1)计算评价该项目使用的折现率;(2)计算项目的净现值;(3)假如预计的固定成本和变动成本、固定资产残值、营运资本和单价只在±10%以内是准确的,这个项目最差情景下的净现值是多少;(4)分别计算营业利润为零、营业现金流量为零、净现值为零的年销售量。
- 根据存货陆续供应与使用模型,下列情形中能够导致经济订货量降低的是( )。
- 根据企业国有资产法律制度的规定,国有独资企业的下列行为中,对相关资产可以不进行资产评估的是()。
- 如果注册会计师识别出超出正常经营过程的重大关联方交易,为了获取交易已经恰当授权和批准的审计证据,以下考虑中恰当的有()。
- X注册会计师拟信赖上年审计所获取的有关采购付款的内部控制运行有效的审计证据,减少本次控制测试的范围,X注册会计师的做法是否妥当?
- 根据《民法通则》的规定,下列选项中,属于无效合同的有( )。
- 下列各项中,不属于投资项目现金流出量内容的是( )。
- 根据资料(4),简述甲公司的收入确认原则。
- 乙、戊、辛公司在收购甲股份时,是否构成一致行动人?并说明理由。
- 在其他因素不变的情况下,下列事项中,会导致欧式看涨期权价值增加的有()。
- 甲公司是一家上市公司,在董事会下设有风险管理委员会。下列选项中,属于风险管理委员会职责的是( )。
亿题库—让考试变得更简单
已有600万用户下载
oDZBp
