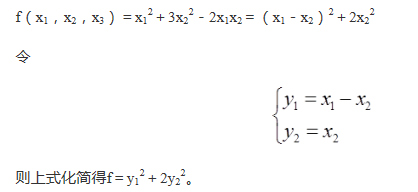
- 单选题矩阵所对应的二次型的标准形是( )。
- A 、

- B 、

- C 、

- D 、


扫码下载亿题库
精准题库快速提分
参考答案【正确答案:C】
二次型的矩阵

则对应的二次型展开式为

您可能感兴趣的试题- 1 【单选题】矩阵是( )。
- A 、

- B 、

- C 、

- D 、

- 2 【单选题】设A是3阶矩阵,P=()是3阶可逆矩阵,且 若矩阵Q= (), 则AQ= ( )。
- A 、

- B 、

- C 、

- D 、

- 3 【单选题】设A是m阶矩阵,B是n阶矩阵,行列式等于()。
- A 、-|A||B|
- B 、|A|B|
- C 、

- D 、

- 4 【单选题】矩阵的逆矩阵是()。
- A 、

- B 、

- C 、

- D 、

- 5 【单选题】设A是3阶矩阵,是3阶可逆矩阵,且若矩阵()。
- A 、

- B 、

- C 、

- D 、

- 6 【单选题】矩阵所对应的二次型的标准形是()。
- A 、

- B 、

- C 、

- D 、

- 7 【单选题】已知二阶实对称矩阵A的一个特征向量为,并且A<0,则以下选项中为A的特征向量的是()。
- A 、

- B 、

- C 、

- D 、

- 8 【单选题】已知二阶实对称矩阵A的特征值是1,A的对应于特征值1的特征向量为,若|Al=-1,则A的另一个特征值及其对应的特征向量是( )。
- A 、

- B 、

- C 、

- D 、

- 9 【单选题】设A是3阶实对称矩阵,P是3阶可逆矩阵,B=AP,已知α是A的属于特征值λ的特征向量,则B的属于特征值λ的特征向量是( )。
- A 、Pα
- B 、
α - C 、

- D 、

- 10 【单选题】下列矩阵中,正定矩阵的是( )。
- A 、

- B 、

- C 、

- D 、

热门试题换一换
- 质量m;与半径r均相同的三个均质滑轮,在绳端作用有力或挂有重物,如图4-3-5所示。已知均质滑轮的质量为计算,则各轮转动的角加速度ɑ间的关系是( )。
- 质量不计的水平细杆AB长为L,在铅垂图面内绕A轴转动,其另一端固连质量为m的质点B,在图示水平位置静止释放。则此瞬时质点B的惯性力为( )。
- 等于()。
- 某项目建设工期为两年,第一年投资200万元,第二年投资300万元,投产后每年净现金流量为150万元,项目计算期为10年,基准收益率10%,则此项目的财务净现值为( )万元。
- 某企业向银行借款,按季度计息,年名义利率为8%,则年实际利率为( )。
- 一束自然光垂直通过两块叠放在一起的偏振片, 若两偏振片的偏振化方向间夹角由则转动前后透射光强度之比为()。
- 图6-1-3所示一水平放置的恒定变直径圆管流,不计水头损失,取两个截面标志为1和2,,则两截面形心压强关系是()。
- 存储器的主要功能是( )。
亿题库—让考试变得更简单
已有600万用户下载
bkPG1
