- 综合题(主观)
题干:某企业生产中使用的A标准件既可自制也可外购。若自制,单位生产成本为60元,每次生产准备成本500元,年固定生产准备成本为50000元,每次生产准备时间需要3天,每日产量30件;若外购,单价是单位自制成本的1.5倍,从发出订单到货物到达需要2天时间,一次订货运输费2600元,每次订货的检验费400元。A标准件全年共需耗用4500件,企业存货占用资金的资本成本率为10%,单件存货保险费为1元,存货残损变质损失为每件2元,假设一年工作天数为300天,设单位缺货成本为10元。企业生产每日需要的零件数量及出现的概率为:[1479201704221-image/0262.jpg]
题目:若不考虑缺货的影响,分别计算自制的经济生产批量和外购的经济订货批量,并通过计算分析企业应自制还是外购A标准件?

扫码下载亿题库
精准题库快速提分

自制:
d==15(件)
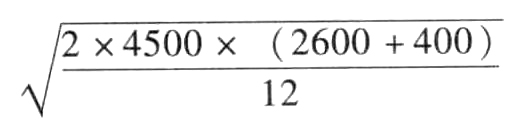
Q*==1000(件)
TC(Q*)==4500 (元)
TC = 4500×60 + 4500 + 50000 = 324500(元)
外购:
Q*==1500(件)
TC (Q*)==18000(元)
TC=4500×60×1.5+18000=423000(元)
因为外购总成本大于自制总成本,所以企业应自制A标准件。

- 1 【综合题(主观)】假设不考虑缺货的影响,C公司自制与外购方案哪个成本低?
- 2 【综合题(主观)】若不考虑缺货的影响,分别计算自制的经济生产批量和外购的经济订货量,并通过计算分析企业应自制还是外购A标准件?
- 3 【综合题(主观)】若考虑缺货的影响,判断企业应自制还是外购A标准件?
- 4 【综合题(主观)】若不考虑缺货的影响,判断企业应自制还是外购A标准件?(计算结果保留整数)
- 5 【综合题(主观)】若考虑缺货的影响,判断企业应自制还是外购A标准件?
- 6 【综合题(主观)】假设不考虑缺货的影响,C公司自制与外购方案哪个成本低?
- 7 【综合题(主观)】假设考虑缺货的影响,C公司自制与外购方案哪个成本低?
- 8 【计算分析题】假设考虑缺货的影响,计算保险储备相关总成本最低的再订货点,并判断丁公司应当选择自制方案还是外购方案?
- 9 【计算分析题】若不考虑缺货的影响,分别计算自制的经济生产批量和外购的经济订货量,并通过计算分析企业应自制还是外购A标准件?
- 10 【计算分析题】若不考虑缺货的影响,分别计算自制的经济生产批量和外购的经济订货量,并通过计算分析企业应自制还是外购A标准件。
热门试题换一换
- 下列人员不得担任甲上市公司独立董事的有( )。
- 扣缴义务人应当自税收法律、行政法规规定的扣缴义务发生之日起( )日内,按照所代扣、代收的税种,分别设置代扣代缴、代收代缴税款账簿。
- 简述公司总体战略的类型;
- 甲、乙、丙设立一个有限责任公司,制定了公司章程。在公司章程中约定的下列事项中,符合公司法律制度规定的有()。
- 2014年2月摩托车厂应纳的增值税税额;
- 下列各项关于关税适用税率的表述中,正确的是( )。
- 以下可以在发生当期在企业所得税税前扣除的是( )。
- 根据《公司法》的规定,股份有限公司股东大会所作的下列决议中,须经出席会议的股东所持表决权的过半数通过的是( )。
- 当月应纳城建税和教育费附加、地方教育附加合计金额。
- 说明拟出售A产品的全套生产线的资产及负债在甲公司2×18年年末资产负债表中应列报的项目名称及金额。

亿题库—让考试变得更简单
已有600万用户下载
