- 计算分析题
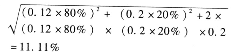
题干:已知:A、B两种证券构成证券投资组合。A证券的预期收益率为10%,方差是0.0144,投资比重为80%;B证券的预期收益率为18%,方差是0.04,投资比重为20%;A证券收益率与B证券收益率的协方差是0.0048。
题目:计算下列指标:①该证券投资组合的预期收益率;②A证券的标准差;③B证券的标准差;④A证券与B证券的相关系数;⑤该证券投资组合的标准差。

扫码下载亿题库
精准题库快速提分
参考答案①证券投资组合的预期收益率=10%×80%+18%×20%=11.6%
②
③
④A证券与B证券的相关系数
⑤证券投资组合的标准差=
您可能感兴趣的试题- 1 【简答题】(2)计算或确定下列指标:①静态投资回收期;②净现值;③原始投资现值;④净现值率;⑤获利指数。
- 2 【计算分析题】计算原证券组合的β系数;
- 3 【综合题(主观)】计算下列指标:①该证券投资组合的预期收益率;②A证券的标准差;③B证券的标准差;④A证券与B证券的相关系数;⑤该证券投资组合的标准差。
- 4 【综合题(主观)】计算或确定下列指标:①包括投资期和不包括投资期的静态回收期和动态回收期;②净现值;③现值指数。
- 5 【计算分析题】计算以下指标:①甲公司证券组合的B系数;②甲公司证券组合的风险收益率;③甲公司证券组合的必要投资收益率;④投资A股票的必要投资收益率。
- 6 【计算分析题】计算追加投资前的下列指标:①各投资中心的投资报酬率;②各投资中心的剩余收益;③总公司的投资报酬率;④总公司的剩余收益;
- 7 【计算分析题】计算追加投资后的下列指标:①各投资中心的投资报酬率;②各投资中心的剩余收益;③总公司的投资报酬率;④总公司的剩余收益。
- 8 【综合题(主观)】计算以下指标:①甲公司证券组合的β系数;②甲公司证券组合的风险收益率(RP);③甲公司证券组合的必要投资收益率(R);④投资A股票的必要投资收益率。
- 9 【计算分析题】计算原证券组合的β系数;
- 10 【计算分析题】计算或确定下列指标:①包括投资期和不包括投资期的静态和动态投资回收期;②净现值;③现值指数。
热门试题换一换
- 关于收入,下列说法中错误的是( )。
- 下列关于存货计价的叙述中,正确的是( )。
- 一个企业一旦选择了某种类型的财务管理体制就应一贯执行,不能改变。 ( )
- 确定甲公司2012年12月31日有关资产、负债的账面价值及计税基础,并计算相应的暂时性差异。将相关数据填列在下表内。
- 甲企业以融资租赁方式租入N设备,该设备的公允价值为100万元,最低租赁付款额的现值为93万元,甲企业在租赁谈判和签订租赁合同过程中发生手续费、律师费等合计为2万元。甲企业融资租入固定资产的入账价值为()万元。
- 企业将作为存货的商品房转换为采用公允价值模式后续计量的投资性房地产时,商品房公允价值小于账面价值的差额计入其他综合收益()。
- 根据《合同法》的有关规定,承租人如果将租赁物转租给第三人,下列表述正确的有()。
- 产品定价的完全成本加成定价法,就是在完全成本的基础上,加合理利润来定价。这里的合理利润的确定,通常是根据销售利润率得出的。()
- (2009年)根据《合伙企业法》的规定,下列各项中,不属于合伙人当然退伙的情形是( )。
- 根据资料(1),编制甲公司奖励职工汽车的相关分录。
- 根据增值税法律制度的规定,一般纳税人购进下列服务所负担的进项税额,不得抵扣的有()。
亿题库—让考试变得更简单
已有600万用户下载
Ya2MQ
