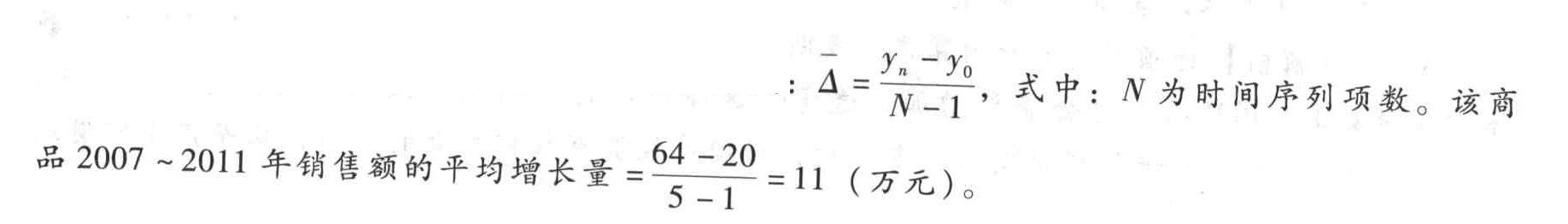
- 单选题某商品2007~2011年销售额(单位:万元)如下表所示。
该商品2007~2011年销售额的平均增长量为()。
- A 、8
- B 、11
- C 、13
- D 、15

扫码下载亿题库
精准题库快速提分

【正确答案:B】
根据平均增长量的计算公式:。

- 1 【多选题】某超市总销售额2007年为80000元,2008年为90000元,商品价格上涨14%,与2007年相比,则( )。
- A 、商品销售量指数为98.68%
- B 、总销售额指数为112.5%
- C 、由于价格上涨使总销售额增加了91200元
- D 、由于商品销售量下降使总销售额减少了91200元
- E 、总销售额增加了10000元
- 2 【单选题】某商店商品销售额增长5%,平均销售价格增长2%,则商品销售量( )。
- A 、增加7.1%
- B 、下降7.1%
- C 、增加2.94%
- D 、下降2.94%
- 3 【多选题】某超市总销售额2007年为80000元,2008年为90000元,商品价格上涨14%,与2007年相比,则( )。
- A 、商品销售量指数为98.68%
- B 、总销售额指数为112.5%
- C 、由于价格上涨使总销售额增加了91200元
- D 、由于商品销售量下降使总销售额减少了91200元
- E 、总销售额增加了10000元
- 4 【单选题】某商店商品销售额增长5%,平均销售价格增长2%,则商品销售量( )。
- A 、增加7.1%
- B 、下降7.1%
- C 、增加2.94%
- D 、下降2.94%
- 5 【多选题】某超市2007年总销售额为100万元,2008年总销售额为121万元,2008年的商品销售均价比2007年上涨10%,则2008年与2007年相比()。
- A 、商品销售量指数为110%
- B 、商品销售额指数为121%
- C 、由于价格上涨使得总销售额增加了10万元
- D 、由于销售量上升使得总销售额增加了11万元
- E 、销售量增加10%
- 6 【单选题】某商品2007~2011年销售额如下表所示:
该商品2007~2011年销售额的平均增长量为()万元。
- A 、10
- B 、11
- C 、13
- D 、15
- 7 【单选题】某商场商品的销售额增长5%,平均销售价格增长2%,则商品销售量增长( )。
- A 、1.85%
- B 、2.94%
- C 、2.36%
- D 、1.68%
- 8 【单选题】某商品2008年至2012年销售额如下:
该商品2008年至2012年销售额的平均增长量为( )万元。
- A 、8
- B 、11
- C 、12
- D 、14
- 9 【单选题】某企业规定年销售额完成500万元的员工,年终全额发放奖金。这种奖金属于( )。
- A 、绩效奖金
- B 、建议奖金
- C 、节约奖金
- D 、特殊贡献奖金
- 10 【单选题】某企业统计硏究发现年销售额每増加1 000万元需増加管理人员.销售人员和客服人员共36名新增人员,管理人员、销售人员和客服人员的比例是1 : 5 : 3。该企业预计2019 年销售额比2018年销售额增加2 000万元,根据转换比率分析法,该企业2019年需要新增销售人员( )人。
- A 、40
- B 、15
- C 、36
- D 、24