- 计算分析题
题干:丙公司是一家汽车配件制造企业,近期的销售量迅速增加。为满足生产和销售的需求,丙公司需要筹集资金495000元用于增加存货,占用期限为30天。现有三个可满足资金需求的筹资方案:方案1:利用供应商提供的商业信用,选择放弃现金折扣,信用条件为“2/10,N/40”。方案2:向银行贷款,借款期限为30天,年利率为8%。银行要求的补偿性金额为借款额的20%。方案3:以贴现法向银行借款,借款期限为30天,月利率为1%。为简化计算,1个月按30天计算,1年按360天计算。
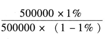
题目:如果丙公司选择方案3,为获得495000元的实际用款额,计算该公司应借款总额和该笔借款的实际年利率。

扫码下载亿题库
精准题库快速提分

应借款总额=495000/(1-1%)=500000(元)
借款的实际年利率=×12×100%=12.12%

- 1 【判断题】在互斥方案的择优分析中,如果差额内部收益率指标大于基准收益率或设定的折现率时,原始投资额较大的方案为较优方案。( )
- A 、正确
- B 、错误
- 2 【综合题(主观)】如果甲公司和乙公司的公司合并方案得以实施,是否达到经营者集中申报标准?并说明理由。
- 3 【计算分析题】如果丙公司选择方案1,计算其放弃现金折扣的机会成本。
- 4 【计算分析题】如果丙公司选择方案2,为获得495 000元的实际用款额,计算该公司应借款总额和该笔借款的实际年利率。
- 5 【计算分析题】如果丙公司选择方案3,为获得495 000元的实际用款额,计算该公司应借款总额和该笔借款的实际年利率。
- 6 【计算分析题】根据以上各方案的计算结果,为丙公司选择最优筹资方案。
- 7 【计算分析题】如果丙公司选择方案1,计算其放弃现金折扣的机会成本。
- 8 【计算分析题】如果丙公司选择方案2,为获得495000元的实际用款额,计算该公司应借款总额和该笔借款的实际年利率。
- 9 【计算分析题】根据以上各方案的计算结果,为丙公司选择最优筹资方案。
- 10 【计算分析题】选择较优的方案。
热门试题换一换
- 某事业单位2011年有关科目余额如下:“经营收入”500万元,“经营支出”575万元,“销售税金”25万元(经营业务)。年度终了,该事业单位应将实现的经营结余转入“结余分配”科目的金额为( )万元。
- 将自产、委托加工或者外购的货物用于集体福利或个人消费的,均视同销售,征收增值税。( )
- 下列各项中,属于增量预算基本假定的有( )。
- (3)变动制造费用效率差异;
- 计算今年的总杠杆系数(保留1位小数);
- 债务人甲的下列行为中,债权人乙可以行使撤销权的是( )。
- 可能导致无效费用开支项目不能得到有效控制的预算方法是( )。
- 林某以个人财产出资设立一个人独资企业,聘请陈某管理该企业事务。林某病故后,因企业负债较多,林某的妻子作为唯一继承人明确表示不愿继承该企业,该企业只得解散。根据《个人独资企业法》的规定,关于该企业清算人的下列表述中,正确的是( )。
- 计算2016年需增加的营运资金(增加的营运资金=增加的流动资产-增加的流动负债);
- 下列各项中,能够产生应纳税暂时性差异的有( )。

亿题库—让考试变得更简单
已有600万用户下载
