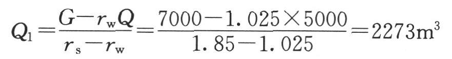
- 建造师案例题某耙吸挖泥船施工的工程,其挖槽中心至抛泥区距离15km,挖槽长度3km,该船以5000立方米舱容施工,施工土质密度1.85t/立方米,重载航速9kn,轻载航速11kn,挖泥航速3kn,调头、抛泥时间8min,一次挖槽长度挖泥满舱载重量7000t。(如图所示)
计算该船的泥舱装载土方量。

扫码下载亿题库
精准题库快速提分
参考答案计算该船的泥舱装载土方量
根据泥舱装载土方量计算公式求得装载量为:
您可能感兴趣的试题- 1 【建造师案例题】某耙吸挖泥船施工的工程,其挖槽中心至抛泥区距离15km,挖槽长度3km,该船以5000立方米舱容施工,施工土质密度1.85t/立方米,重载航速9kn,轻载航速11kn,挖泥航速3kn,调头、抛泥时间8min,一次挖槽长度挖泥满舱载重量7000t。(如图所示)
如图由A挖起至B止和由B挖起至A止哪一种安排更合理些?
- 2 【建造师案例题】某工程由绞吸挖泥船施工,该船某月施工统计资料为:施工时间30d,挖泥运转小时450h,该船生产率为800立方米/h。计算本月完成的工程工程量;
- 3 【建造师案例题】某工程由绞吸挖泥船施工,该船某月施工统计资料为:施工时间30d,挖泥运转小时450h,该船生产率为800立方米/h。计算时间利用率;
- 4 【建造师案例题】某工程由绞吸挖泥船施工,该船某月施工统计资料为:施工时间30d,挖泥运转小时450h,该船生产率为800立方米/h。试述绞吸挖泥船的主要技术性能。
- 5 【多选题】与其他挖泥船相比,耙吸挖泥船在( )情况下施工具有明显的优越性。
- A 、狭窄水域
- B 、有一定风浪的开阔水域
- C 、繁忙的营运航道
- D 、水底杂物障碍物较多的水域
- E 、水深变化大的水域
- 6 【多选题】基本施工方法为横挖法的挖泥船有( )。
- A 、绞吸式挖泥船
- B 、耙吸式挖泥船
- C 、链斗式挖泥船
- D 、铲扬式挖泥船
- E 、抓扬式挖泥船
- 7 【单选题】耙吸挖泥船施工的优点有( )。
- A 、可在恶劣海况下作业
- B 、连续生产效率高
- C 、挖泥精度控制高
- D 、超挖(超宽超深)少
- 8 【多选题】与其他挖泥船相比,耙吸挖泥船在( )情况下施工具有明显的优越性。
- A 、狭窄水域
- B 、有一定风浪的开阔水域
- C 、繁忙的营运航道
- D 、水底杂物障碍物较多的水域
- E 、水深变化大的水域
- 9 【单选题】耙吸挖泥船施工的优点有( )。
- A 、可在恶劣海况下作业
- B 、连续生产效率高
- C 、挖泥精度控制高
- D 、超挖(超宽超深)少
- 10 【多选题】与其他挖泥船相比,耙吸挖泥船在( )情况下施工具有明显的优越性。
- A 、狭窄水域
- B 、有一定风浪的开阔水域
- C 、繁忙的营运航道
- D 、水底杂物障碍物较多的水域
- E 、水深变化大的水域
热门试题换一换
- 某施工工地正在施工,脚手架工人正在搭设35米的脚手架。吊机将脚手管捆绑吊放在脚手架上,一名工人在搬运脚手管时致使脚手管滑落造成底部一名施工作业人员头部受到打击,一侧耳朵缺失。现场管理人员发现后,赶紧组织了抢救工作,为了杜绝此类危险再次发生,全场停工整改一天。 根据《工程建设项目勘察设计招标投标办法》规定,投标保证金一般不超过勘察设计费投标报价的( ),最多不超过10万元人民币。
- 如图所示规则波,每秒钟波形传播的距离是0.5m,该波浪的周期是( )。
- 如信用条件为“1/20,n/30”,放弃现金折扣的成本为( )。
- 在浅滩整治工程中,沙质浅滩整治宜以( )。
- 在项目现场,可不设安全警示标志牌的是()。
- 在措施项目清单计价时,对于分包单位租赁的大型机械进出场及安拆费,应按( )计价。
- 分部分项工程量清单中所列工程量应按规定的工程量计算规则计算,该规定是()。
- 下列内容不属于我国《工程建设项目施工招标投标办法》中列举的投标人之间串通投标报价行为的是( )。
- 关于和解的说法,正确的是( )。
亿题库—让考试变得更简单
已有600万用户下载
eX0M
