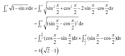
- 单选题积分=( )。
- A 、π
- B 、π/2
- C 、
+1 - D 、4(
-1)

扫码下载亿题库
精准题库快速提分
参考答案【正确答案:D】
计算得:

您可能感兴趣的试题- 1 【单选题】二次积分交换积分次序后的二次积分是( )。
- A 、

- B 、

- C 、

- D 、

- 2 【单选题】不定积分等于( )。
- A 、

- B 、

- C 、

- D 、

- 3 【单选题】定积分等于( )。
- A 、0
- B 、-1
- C 、1
- D 、2
- 4 【单选题】定积分等于( )。
- A 、

- B 、

- C 、

- D 、

- 5 【单选题】定积分等于()。
- A 、0
- B 、-1
- C 、1
- D 、2
- 6 【单选题】定积分等于()。
- A 、

- B 、

- C 、

- D 、

- 7 【单选题】二次积分交换积分次序后的二次积分是 ()。
- A 、

- B 、

- C 、

- D 、

- 8 【单选题】不定积分等于()。
- A 、

- B 、

- C 、

- D 、

- 9 【单选题】不定积分等于( )。
- A 、

- B 、

- C 、

- D 、

- 10 【单选题】广义积分( )。
- A 、值为4/3
- B 、值为-4/3
- C 、值为2/3
- D 、发散
热门试题换一换
- 如图4-3-1示均质圆轮,质量m,半径R,由挂在绳上的重为w的物块使其绕质心轴0转动。设重物的速度为v,不计绳重,则系统动量、动能的大小是( )。
- 均质细杆OA,质量为m,长1。在如图4-3-12所示水平位置静止释放,释放瞬时轴承O施加于杆OA的附加动反力为( )。
- 一直径与Q分别为( )。
- =( )。
- ["当|x|是速率分布中的最大速率^*@*^是最大多数分子的速率^*@*^在一定的温度下,速率与相近的气体分子所占的百分率最大^*@*^是所有分子速率的平均值","最概然速率的物理意义是( )。"]
- 汇流水管如图所示,已知三部分水管的横截面积分别为,入流速度为( )。
- 某温度信号如题87图(a)所示,经温度传感器测量后得到图(b)波形,经采样后得到图(c)波形,再经保持器得到图(d)波形,则( )。
- 三相异步电动机在满载起动时,为了不引起电网电压的过大波动,应该采用的异步电动机类型和起动方案是( )。
- 有一完全井,=0.3m,含水层厚度H=15m,抽水稳定后,井水深h=10m,影响半,求土壤的渗水系数k为( )。
- 某化合物的结构式为该有机化合物不能发生的化学反应类型是( )。
亿题库—让考试变得更简单
已有600万用户下载
ZVROd
