一级建造师
报考报名 准考证打印 成绩查询 报考指南 考试题库

重置密码成功

请谨慎保管和记忆你的密码,以免泄露和丢失

注册成功

请谨慎保管和记忆你的密码,以免泄露和丢失

首页 一级建造师 题库 正文
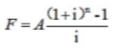
  • 单选题 某投资者6年内每年年末投资500万元。若基准收益率为8%,复利计息,则6年末可一次性收的本利和为( )万元。
  • A 、500×[(1+8%)
  • B 、6-1]/[8%×(1+8%)]
  • C 、500×[(1+8%)
  • D 、6-1]/8%
  • E 、500×8%/[(1+8%)
  • 、6-1]
  • 、500×[8%×(1+8%)]/[(1+8%)
  • 、6-1]

扫码下载亿题库

精准题库快速提分

参考答案

【正确答案:B】

在资金时间价值计算的公式中,题干所指对应于等额支付系列的终值公式。因此,备选答案B正确。

您可能感兴趣的试题