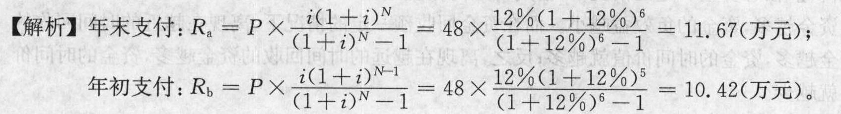
- 单选题某企业从设备租赁公司租借一台设备,该设备的价格为48万元,租期为6年,折现率为12%。若按年金法计算,则该企业每年年末等额支付和每年年初等额支付的租金分别为( )万元。
- A 、15.79和14.10
- B 、11.67和10.42
- C 、10.42和9.31
- D 、8.96和8.00

扫码下载亿题库
精准题库快速提分
参考答案【正确答案:B】

您可能感兴趣的试题- 1 【单选题】某企业从设备租赁公司租借一台设备,该设备的价格为48万元,租期为6年,折现率为12%,若按年金法计算,则该企业每年年初等额支付的租金为( )万元。
- A 、9.31
- B 、10.42
- C 、11.67
- D 、14.1
- 2 【单选题】某企业从设备租赁公司租借1台设备,该设备的价格为48万元,租期为6年,折现率为12%。若按年金法计算,则该企业每年年末等额支付和每年年初等额支付的租金分别为( )万元。
- A 、15.79和14.10
- B 、11.67和10.42
- C 、10.42和9.31
- D 、8.96和8.00
- 3 【单选题】某企业从设备租赁公司租借一台设备,该设备的价格为48万元,租期6年,折现率为12%,若按年金法计算,则该企业每年年末等额支付的租金为( )万元。
- A 、15.79
- B 、11.67
- C 、10.42
- D 、8.96
- 4 【单选题】某企业从设备租赁公司租借一台设备,该设备的价格为48万元,租期6年,折现率为12%,若按年金法计算,则该企业每年年初等额支付的租金为( )万元。
- A 、14.1
- B 、10.42
- C 、9.31
- D 、8.00
- 5 【单选题】某企业从设备租赁公司租借一台设备,该设备的价格为48万元,租期为5年,折现率为10%,若按年金法计算,则该企业每年年初等额支付的租金为( )万元。
- A 、11.51
- B 、12.66
- C 、12.96
- D 、13.47
- 6 【单选题】某企业从设备租赁公司租借一台设备,该设备的价格为48万元,租期为6年,折现率为12%,若按年金法计算,则该企业每年年初等额支付的租金为( )万元。
- A 、9.31
- B 、10.42
- C 、11.67
- D 、14.1
- 7 【单选题】某企业从设备租赁公司租借1台设备,该设备的价格为48万元,租期为6年,折现率为12%。若按年金法计算,则该企业每年年末等额支付和每年年初等额支付的租金分别为( )万元。
- A 、15.79和14.10
- B 、11.67和10.42
- C 、10.42和9.31
- D 、8.96和8.00
- 8 【单选题】某企业从设备租赁公司租借一台设备,该设备的价格为48万元,租期为6年,折现率为12%。若按年金法计算,则该企业每年年末等额支付和每年年初等额支付的租金分别为()万元。
- A 、15.79和14.10
- B 、11.67和10.42
- C 、10.42和9.31
- D 、8.96和8.00
- 9 【单选题】某租赁企业租赁给某公司一台设备,价格68万元,租赁保证金在租赁期满后退还,租期为5年,每年年末支付租金,租赁保证金5万元,担保费4万元,折现率10%,附加率4%,租赁保证金与担保费的资金时间价值忽略不计,每年租赁费用为()。
- A 、23.12万元
- B 、23.92万元
- C 、24.12万元
- D 、24.92万元
- 10 【单选题】某租赁企业租赁给某公司一台设备,价格68万元,租赁保证金在租赁期满后退还,租期为5年,每年年末支付租金,租赁保证金5万元,担保费4万元,折现率10%,附加率4%,租赁保证金与担保费的资金时间价值忽略不计,每年租赁费用为( )。
- A 、23.12万元
- B 、23.92万元
- C 、24.12万元
- D 、24.92万元
热门试题换一换
- 管理体系的( )是组织对其自身的管理体系进行的审核,是对体系是否正常进行以及是否达到了规定的目标所做的独立的检查和评价,是管理体系自我保证和自我监督的一种机制。
- 全玻幕墙面板玻璃,如果使用夹层玻璃,单片厚度不应小于( )。
- 下列内容中,不属于流动资产的是( )。
- 项目人力资源管理的目的是()。
- 在陆地工程的安全管理中,环境的安全管理是指()。
- 施工技术资料的编制要求和移交期限应在()中做出明确规定。
- 水利工程施工招标资格审查应主要审查潜在投标人或者投标人是否符合()等。
- 施工组织设计的基本内容包括:工程概况;施工部署及施工方案;施工进度计划;施工平面图;主要技术经济指标,其中施工部署及施工方案的内容包括( )。
- 将合同风险分为合同订立风险和合同履约风险的划分标准是( )。
- 关于承揽工程业务的说法,正确的是()。
亿题库—让考试变得更简单
已有600万用户下载
p1Mnw
