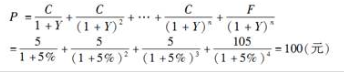
- 选择题 某债券的票面价值为100元,每半年付息5元,期限2年。如果目前市场上的必要收益率为10%,那么,该债券的价格为( )元。(按复利贴现)
- A 、100.06
- B 、100
- C 、102.01
- D 、103.02

扫码下载亿题库
精准题库快速提分
参考答案【正确答案:B】
该债券的价格为:
您可能感兴趣的试题- 1 【选择题】有一债券面值为1000元,票面利率为8%,每半年支付一次利息,2年期。假设必要报酬率为10%,则发行9个月后该债券的价值为()元。
- A 、991.44
- B 、922.768
- C 、996.76
- D 、1021.376
- 2 【选择题】 某债券面值100元,每半年付息一次,利息4元,债券期限为5年,若一投资者在该债券发行时以108. 53元购得,则其实际的年收益率是( )。
- A 、5.88%
- B 、6.09%
- C 、6.25%
- D 、6.41%
- 3 【选择题】 某债券面值100元,每半年付息一次,利息4元,债券期限为5年,若一投资者在该债券发行时以108. 53元购得,其实际的年收益率是( )。
- A 、5.88%
- B 、6.09%
- C 、6.25%
- D 、6.41%
- 4 【选择题】有一债券面值为1000元,票面利率为8%,每半年支付一次利息,2年期。假设必要报酬率为10%,则发行9个月后该债券的价值为()元。
- A 、991.44
- B 、922.768
- C 、996.76
- D 、1021.376
- 5 【选择题】有一债券面值为1000元,票面利率为8%,每半年支付一次利息,2年期。假设必要报酬率为10%,则发行9个月后该债券的价值为()元。
- A 、991.44
- B 、922.768
- C 、996.76
- D 、1021.376
- 6 【选择题】 某债券面值100元,每半年付息一次,利息4元,债券期限为5年,若一投资者在该债券发行时以108. 53元购得,其实际的年收益率是( )。
- A 、5.88%
- B 、6.09%
- C 、6.25%
- D 、6.41%
- 7 【选择题】有一债券面值为1000元,票面利率为8%,每半年支付一次利息,2年期。假设必要报酬率为10%,则发行9个月后该债券的价值为()元。
- A 、991.44
- B 、922.768
- C 、996.76
- D 、1021.376
- 8 【选择题】某债券面值100元,每半年付息一次,利息4元,债券期限为5年,若一投资者在该债券发行时以108. 53元购得,其实际的年收益率是( )。
- A 、5.88%
- B 、6.09%
- C 、6.25%
- D 、6.41%
- 9 【选择题】有一债券面值为1000元,票面利率为8%,每半年支付一次利息,2年期。假设必要报酬率为10%,则发行9个月后该债券的价值为()元。
- A 、991.44
- B 、922.768
- C 、996.76
- D 、1021.376
- 10 【选择题】以100元购入面值为100元的债券,票面利率10%,期限5年,每年支付利息,到期还本。 如果年贴现率为5%,则该债券净现值为()元。
- A 、100
- B 、0
- C 、21.65
- D 、121.65
热门试题换一换
- 理论上,看跌期权为虚值期权意味着()。
- 在正向市场中,期货价格高出现货价格的部分与持仓费的大小有关,持仓费体现的是期货价格形成中的()。
- ()对期权价格高低起决定作用。
- 某一行业有如下特征:行业利润处于一个较高水平,风险因市场结构比较稳定、新企业难以进入而较低。可以判断这一行业最有可能处于生命周期的()。
- 根据客户对待风险与收益的态度,可以将客户分为()。 Ⅰ.风险厌恶型 Ⅱ.风险偏好型 Ⅲ.风险中立型 Ⅳ.以子女为中心型
- 股价的高低,代表了投资者对公司价值的客观评价,它反映的内容有()。 Ⅰ.资本和获利之间的关系 Ⅱ.公司的发展速度和水平 Ⅲ.每股盈余的大小和取得时间 Ⅳ.公司的管理水平
- 根据板块轮动、市场风格转换而调整投资组合是一种()证券组合投资策略。
- 下列属于个人资产负债表中的长期负债的是()。 Ⅰ.汽车和其他支出 Ⅱ.二套住房贷款 Ⅲ.教育贷款 Ⅳ.主要住房贷款
- 张三为某股份公司经理,下列可以由张三直接决定的事项是()。Ⅰ.决定设立某部门Ⅱ.制定《某部门工作规程》Ⅲ.任命某部门负责人Ⅳ.批准公司的《募集资金管理制度》
- 根据证券法律制度的规定,凡发生可能对上市公司证券及其衍生品种交易价格产生较大影响的重大事件,投资者尚未得知时,上市公司应当立即提出临时报告。下列各项中,属于重大事件的有()。Ⅰ.上市公司董事会就股权激励方案形成相关决议Ⅱ.上市公司的股东王某持有公司10%的股份被司法冻结Ⅲ.上市公司因国家产业政策调整致使该公司主要业务陷入停顿Ⅳ.上市公司变更会计政策
亿题库—让考试变得更简单
已有600万用户下载
m5Py1
