一级建造师
报考报名 准考证打印 成绩查询 报考指南 考试题库

重置密码成功

请谨慎保管和记忆你的密码,以免泄露和丢失

注册成功

请谨慎保管和记忆你的密码,以免泄露和丢失

首页 一级建造师 题库 正文
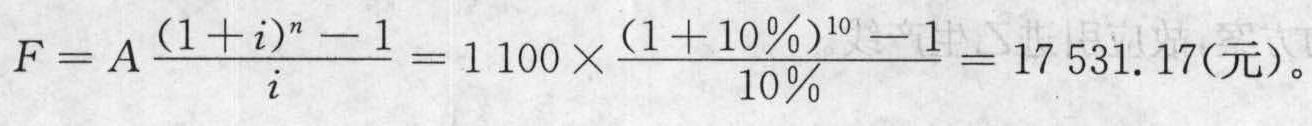
  • 单选题 某人储备养老金,每年年初存款1 000元,年利率为10%,10年后他的养老金总数为( )元。
  • A 、15 937.42
  • B 、17 531.17
  • C 、25 937,42
  • D 、18 635.42

扫码下载亿题库

精准题库快速提分

参考答案

【正确答案:B】

该题考核已知A,求F,但是已知的A是年初发生的,必须先换算到年末,故:
(1)换算A=1 000×(1+10%)=1100(元);
(2)A求F,

您可能感兴趣的试题