一级建造师
报考报名 准考证打印 成绩查询 报考指南 考试题库

重置密码成功

请谨慎保管和记忆你的密码,以免泄露和丢失

注册成功

请谨慎保管和记忆你的密码,以免泄露和丢失

首页 一级建造师 题库 正文
  • 建造师案例题
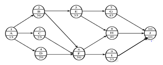
    题干:背景资料施工单位承接了某二级公路工程,施工单位按照合同工期要求编制了如图所示(时间单位:d),并经监理工程师批准后实施。过程中,发生了如下事件:事件1:工作D(1号台基础)施工过程中,罕见特大暴雨天气使一台施工机械受损,机械维修花费2万元,同时导致工作D实际时间比计划时间拖延8d。事件2:施工单位租赁的施工机械未及时进场,使工作F(1号台身)实际时间比计划时间拖延8d,造成施工单位经济损失2000元/d。事件3:业主变更设计,未及时向施工单位提供图纸,使工作E(O号台身)实际时间比计划时间拖延15d,造成施工单位经济损失1600元/d。问题:
    题目:将背景中的双代号网络改为单代号网络。

扫码下载亿题库

精准题库快速提分

参考答案

您可能感兴趣的试题