- 选择题设随机变量δ
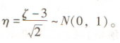
(-∞<x<+∞),则n=( )~N(0,1)。 - A 、(δ+3)/2
- B 、

- C 、 (δ-3)/2
- D 、


扫码下载亿题库
精准题库快速提分
参考答案【正确答案:D】
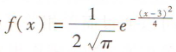
设X~N(μ,σ2),则Z=X-μσ~N(0,1)。由δ的概率密度为
(-∞<x<+∞)
可知:δ的数学期望μ=3,方差σ^2=2,则
。
您可能感兴趣的试题- 1 【选择题】设随机变量ξ的概率密度为
,则η=()~N(0,1)。 - A 、

- B 、

- C 、

- D 、

- 2 【选择题】 设随机变量X~N (3,2^2),且P(X>a)=P(X
- A 、0
- B 、2
- C 、3
- D 、4
- 3 【选择题】设随机变量ξ的概率密度为
,则η=()~N(0,1)。 - A 、

- B 、

- C 、

- D 、

- 4 【选择题】设随机变量ξ的概率密度为
,则η=()~N(0,1)。 - A 、

- B 、

- C 、

- D 、

- 5 【选择题】设随机变量ξ的概率密度为
,则η=()~N(0,1)。 - A 、

- B 、

- C 、

- D 、

- 6 【选择题】设随机变量ξ的概率密度为
,则η=()~N(0,1)。 - A 、

- B 、

- C 、

- D 、

- 7 【选择题】设随机变量ξ的概率密度为
,则η=()~N(0,1)。 - A 、

- B 、

- C 、

- D 、

- 8 【选择题】设随机变量ξ的概率密度为
,则η=()~N(0,1)。 - A 、

- B 、

- C 、

- D 、

- 9 【选择题】设随机变量ξ的概率密度为
,则η=()~N(0,1)。 - A 、

- B 、

- C 、

- D 、

- 10 【选择题】设随机变量ξ的概率密度为
,则η=()~N(0,1)。 - A 、

- B 、

- C 、

- D 、

热门试题换一换
- 主要条款比较法和比率分析法的比较说法错误的是()。I.比率分析法的优点评估方式直接明了,操作简便II.主要条款比较法的优点是计算方式简便,考虑了价差的变化III.比率分析法的考虑了基差风险的存在IV.主要条款比较法、比率分析法都是最常见的对冲策略有效性评价方法
- 上升三角形和下降三角形又被称为( )。
- 属于客户证券投资对象的是()。
- 上交所上市公司在2014年将会被实施退市风险警示的有()。Ⅰ.2013年的营业收入为1500万元Ⅱ.2013年被出具无法表示意见的审计报告Ⅲ.2013年末的净资产为负值Ⅳ.2012年度、2013年度净利润追溯重述后连续为负值
- 以下家庭债务管理状况的分析公式正确的有( )。 I.资产负债率=总负债/总资产 II.自用性负债比率=自用性负债/总负债 III.投资性负债比率=投资性负债/总负债 IV.消费负债比率=消费性负债/总负债 V.融资比率=投资性资产/总负债
- 假设证券的收益率符合一个单因素模型,某投资者拥有的一个投资组合特征如下表:根据上述特征,该投资者发现能够用证券A、B、C构造套利组合,于是决定通过“增加证券A的持有比例,并相应减少原持有组合中证券B和证券C的持有比例”的方法进行套利。假定该投资者原持有组合中证券A的持有比例增加0.2,在调整后该投资人的投资组合达到套利目的的方式有()。I.证券B的持有比例降为0.3II.证券C的持有比例降为0.3III.证券B的持有比例降为0.5IV.证券C的持有比例降为0.1
- 下列关于供给弹性的说法中,正确的有()。 Ⅰ. 供给价格弹性是指供给量相对价格变化作出的反应程度 Ⅱ. 供给弹性是供给量变化率对商品自身价格变化率反应程度的一种度量,等于供给变化率除以价格变化率 Ⅲ. 供给的价格弹性系数=供给量变动的百分比/价格变动的百分比 Ⅳ. 供给弹性的大小与供给决策的时间框架无关
- 下列各项中,属于技术分析法的有()。 Ⅰ.K线理论 Ⅱ.切线理论 Ⅲ.形态理论 Ⅳ.波浪理论
- 以下是主板上市公司公开发行可转换公司偾券应符合的条件有()。Ⅰ .最近3个会计年度加权平均净资产收益率平均不低于6%。扣非前后净利润孰低, 作为加权平均净资产收益率的计算依据Ⅱ.本次发行后累计公司债券余额不超过最近一期末净资产额的40%Ⅲ.最近3个会计年度实现的年均可分配利润不少于公司债券1年的利息 Ⅳ.最近一期末经审计的净资产不低于人民币15亿元
亿题库—让考试变得更简单
已有600万用户下载
Rg3oq
