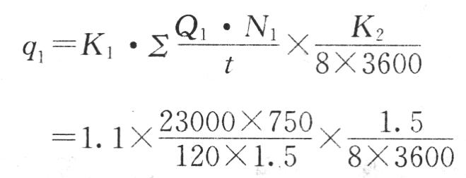
- 建造师案例题北京某工程,据统计混凝土实物工作量约为23000立方米,混凝土(预拌混凝土)不考虑现场搅拌,混凝土养护用水定额取700L/立方米拟定结构及前期阶段施工工期为300d;每天按照1.5个工作班计算。 其中:
生活区高峰人数为500人,生活用水定额其中包括:卫生设施用水定额为25L/人;食堂用水定额为15L/人;洗浴用水定额为30L/人(人数按照出勤人数的30%计算);洗衣用水定额为30L/人;生活用水不均衡系数
全天用水。 计算该工程总用水量。

扫码下载亿题库
精准题库快速提分
参考答案工程总用水量计算
(1)首先计算现场施工用水量:
=5.49L/s

=0.91L/s
(3)设定消防用水量:
因为该区域工地面积远小于5h平方米,故按最小消防用水量选用:

(4)总用水量计算:

故总用水量按消防用水量考虑。

您可能感兴趣的试题- 1 【建造师案例题】北京某工程,据统计混凝土实物工作量约为23000立方米,混凝土(预拌混凝土)不考虑现场搅拌,混凝土养护用水定额取700L/立方米;拟定结构及前期阶段施工工期为300d;每天按照1.5个工作班计算。 其中:
生活区高峰人数为500人,生活用水定额其中包括:卫生设施用水定额为25L/人;食堂用水定额为15L/人;洗浴用水定额为30L/人(人数按照出勤人数的30%计算);洗衣用水定额为30L/人;生活用水不均衡系数
全天用水。 计算给水主干管管径(水流速度1.5m/s)。
- 2 【单选题】混凝土工程量计算应根据设计图纸( )。
- A 、不分部位
- B 、不分强度
- C 、不分级配
- D 、以立方米为单位
- 3 【单选题】某混凝土工程,工程量清单的工程量为1000 立方米,合同约定的综合单价为350元/立方米,且实际工程量超过工程量清单的工程量10%时可调整单价,调整系数为0.9。由于设计变更,工程结束时,施工单位实际完成工程量为1 200立方米,则该混凝土工程结算款为( )万元。
- A 、37.8
- B 、41.3
- C 、41.65
- D 、42.05
- 4 【单选题】某混凝土工程,工程量清单的工程量为1000 立方米,合同约定的综合单价为350元/立方米,且实际工程量超过工程量清单10%时可调整单价,调整系数为0.9。由于设计变更,承包商实际完成工程量1 200 立方米,则该混凝土工程的结算价款应为( )万元。
- A 、37.8
- B 、41.3
- C 、41.65
- D 、42
- 5 【单选题】某混凝土工程某月计划工程量为110立方米,计划成本320元/立方米,月底检查时承包商实际完成工程量100 立方米,实际成本为300元/立方米,则下列关于该工程费用绩效系数CPI和进度系数SPI的判断,正确的是( )。
- A 、CPI>1,实际费用大于预算费用
- B 、SPI>1,实际进度快于计划进度
- C 、CPI>1,实际费用低于预算费用
- D 、CPI<1,实际费用低于预算费用
- 6 【建造师案例题】计入结算的混凝土工程量是多少?混凝土工程的实际结算价款是多少万元(计算结果保留两位小数)?
- 7 【建造师案例题】计入结算的混凝土工程量是多少?混凝土工程的实际结算价款是多少万元?(计算结果保留两位小数)
- 8 【单选题】某混凝土工程,9月份计划工程量为5000m
,计划单价为400元/m
,而9月份实际完成工程量为4000m
,实际单价为410元/m
,则该工程9月份的进度偏差为( )万元。 - A 、-36
- B 、36
- C 、-40
- D 、41
- 9 【单选题】为明确混凝土工程施工中钢筋制作、混凝土浇筑等工作之间的逻辑关系,施工项目部应当编制( )。
- A 、组织结构图
- B 、任务分工表
- C 、工作流程图
- D 、工作一览表
- 10 【单选题】某混凝土工程,工程量清单的工程量为 2000,合同约定的综合单价为 400 元/ ,当实际工程量超过清单工程量 10%时可调整单价,调整系数为 0.9。工程结束时实际工程量为 2400 ,则该混凝土工程的结算价款是( )万元。
- A 、96.0
- B 、95.2
- C 、94.4
- D 、86.4
热门试题换一换
- 根据我国相关规定,一次事故中死亡8人的属于( )。
- 后张法预应力孔道灌浆应( )。
- 某机电安装工程。施工单位(乙方)与建设单位(甲方)签订了施工合同。合同约定,由于甲方责任的损失按实际发生全额赔偿,工期每提前(或拖后)1天奖励(或罚款)2500元。乙方提交了粗略的施工网络进度计划,并得到甲方的批准。 该网络进度计划如图1所示。 施工过程中发生了如下事件: 事件一:在基坑开挖后,发现局部有软土层,乙方配合地质复查,配合用工10个工日。根据批准的地基处理方案,乙方增加直接费用5万元。因地基复查使基础施工工期A延长3天,人工窝工15个工日。 事件二:B施工时,因某处设计尺寸不当,甲方要求拆除已施工部分,重新施工,因此造成增加用工30个工日,材料费、机械台班费计2万元,B工作工期拖延5天。 事件三:在D施工中,因施工机械故障,造成工人窝工8个工日,该工作工期延长3天。 事件四:因乙方购买的室外划等号管线材料质量不合格,甲方令乙方重新购买,因此造成G工作多用人工8个工日,该工作工期延长4天,材料损失费1万元。 事件五:鉴于工期较紧,经甲方同意,乙方在M施工时采取了加快施工的技术措施,使得该工作工期缩短了1周,该项技术组织措施费为0.6万元。 其余各项工作实际作业工期和费用与原计划相符。 合同约定人工费标准是30元/工日,窝工人工费补偿标准是18元/工日,该工程其他直接费、间接费等综合取费率为30%。在工程清算时,乙方应得到的工程索赔款为多少?
- 某建筑公司承接一体育馆改造项目,以工料机单价法计算得到的人工费为2500万元,材料费1600万元,机械费700万元,其中零星工程的费用占直接工程费的3.0%,措施费为直接工程费的9.0%.间接费的费率为6.0%,利润为5.0%,税金按规定计取,费率按3.4%计算。 请简单说明直接费、间接费、税金三者之间的构成。
- 水利工程施工项目的招标中,评标委员会成员人数为( )以上单数,其中技术、经济等方面的专家不得少于成员总数的( )。
- 某工程合同总额300万元,合同中约定的工程预付款额度为15%,主要材料和构配件所占比重为60%,则该工程预付款的起扣点为( )万元。
- 下列各项中,不属于应收账款信用政策的是()。
- 对于保修义务的承担和维修的经济责任承担,下述说法正确的是()。
- 短波通信主要应用于()通信。
- 某工程项目的双代号时标网络计划,当计划执行到第4周末及第10周末时,检查得出实际进度前锋线如下图所示,检查结果表明( )。
- 变压器二次搬运,正确的说法有()。
亿题库—让考试变得更简单
已有600万用户下载
D74m
