一级建造师
报考报名 准考证打印 成绩查询 报考指南 考试题库

重置密码成功

请谨慎保管和记忆你的密码,以免泄露和丢失

注册成功

请谨慎保管和记忆你的密码,以免泄露和丢失

首页 一级建造师 题库 正文
  • 单选题 某施工项目现有两个对比工艺方案,方案1是过去曾经应用过的,方案2是新方案,两方案均不需增加投资。但应用方案1需固定费用100万元,单位产量的可变费用400元;应用方案2需固定费用80万元,单位产量的可变费用350元。设生产数量为10000个单位,试运用折算费用法选择方案。试运用折算费用法确定两方案的使用范围(  )个单位。
  • A 、3500
  • B 、44200
  • C 、4000
  • D 、3800

扫码下载亿题库

精准题库快速提分

参考答案

【正确答案:C】

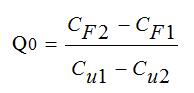
本题考核“新技术应用方案的经济分析”。依据公式:

=(100-80)x10000 /(400-350)=40000个,当产量Q>4000时,方案2优;当产量Q<4000时,方案1优 。

您可能感兴趣的试题