- 计算分析题
题干:已知某公司2016年会计报表的有关资料如下:[1354201705101-image/639.jpg]
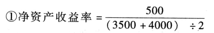
题目:计算杜邦财务分析体系中的下列指标:(凡计算指标涉及资产负债表项目数据的,均按平均数计算)①净资产收益率;②总资产净利率(百分数保留三位小数);③销售净利率;④总资产周转率(保留三位小数);⑤权益乘数。

扫码下载亿题库
精准题库快速提分

×100%=13.33%

- 1 【多选题】从杜邦财务分析体系可知,提高净资产收益率的途径在于( )。
- A 、加强负债管理,降低负债比率
- B 、加强成本管理,降低成本费用
- C 、加强销售管理,提高营业净利率
- D 、加强资产管理,提高资产周转率
- 2 【单选题】在杜邦财务分析体系中,假设其他情况相同,下列说法中错误的是( )。
- A 、权益乘数大则财务风险大
- B 、权益乘数大则净资产收益率大
- C 、权益乘数等于产权比率大
- D 、权益乘数大则资产净利率大
- 3 【单选题】在杜邦财务分析体系中,假设其他情况相同,下列说法中错误的是( )。
- A 、权益乘数大则财务风险大
- B 、权益乘数大则净资产收益率大
- C 、权益乘数等于产权比率大
- D 、权益乘数大则资产净利率大
- 4 【单选题】下列关于杜邦财务分析体系的说法中,不正确的是()。
- A 、总资产收益率是一个综合性最强的指标
- B 、在净资产收益率大于零的前提下,提高资产负债率可以提高净资产收益率
- C 、资产负债率与权益乘数同方向变化
- D 、资产负债率高会给企业带来较多的杠杆利益,也会带来较大的风险
- 5 【单选题】在杜邦财务分析体系中,假设其他情况相同,下列说法中错误的是()。
- A 、权益乘数大则财务风险大
- B 、权益乘数大则净资产收益率大
- C 、权益乘数等于产权比率加1
- D 、权益乘数大则资产净利率大
- 6 【计算分析题】计算杜邦财务分析体系中的下列指标(凡计算指标涉及资产负债表项目数据的,均按平均数计算):①净资产收益率;②总资产净利率(保留三位小数);③主营业务净利率;④总资产周转率(保留三位小数);⑤权益乘数。
- 7 【计算分析题】计算杜邦财务分析体系中的2012年的下列指标(时点指标按平均数计算):①销售净利率;②总资产周转率;③权益乘数(保留三位小数);④净资产收益率。
- 8 【单选题】在杜邦财务分析体系中,假设其他情况相同,下列说法中错误的是()。
- A 、权益乘数大则财务风险大
- B 、权益乘数大则净资产收益率大
- C 、权益乘数等于产权比率
- D 、权益乘数大则资产净利率大
- 9 【单选题】下列关于杜邦财务分析体系的说法中不正确的是( )。
- A 、总资产收益率是一个综合性最强的指标
- B 、在净资产收益率大于零的前提下,提高资产负债率可以提高净资产收益率
- C 、资产负债率与权益乘数同方向变化
- D 、资产负债率高会给企业带来较多的杠杆利益,也会带来较大的风险
- 10 【计算分析题】计算杜邦分析体系中的下列指标(凡计算指标涉及资产负债表项目数据的,均按平均数计算):①净资产收益率;②资产净利率(计算结果保留小数点后三位); ③销售净利率;④总资产周转率(计算结果保留小数点后三位);⑤权益乘数(计算结果保留小数点后三位)。⑥用文字列出净资产收益率与上述其他各项指标的关系式,并用本题数据带入加以验证。
热门试题换一换
- 发起人在公司成立后抽逃出资的,罚款的金额为其所抽逃出资额的( )。
- 资本化期间内,外币专门借款本金的汇兑差额,应资本化;外币专门借款利息的汇兑差额,应费用化()。
- 若公司预计息税前利润在每股利润无差别点上增长10%,计算采用乙方案时该公司每股利润的增长幅度。
- 合伙企业不能清偿到期债务的,债权人可以依法向人民法院提出破产清算申请,也可以要求普通合伙人清偿。( )
- 根据证券法律制度的规定,上市公司发生下列事项时,证券交易所可以决定终止其股票上市的有( )。
- 下列不属于反垄断法所禁止的滥用行政权力排除、限制竞争行为的是( )。
- 合伙企业的利润分配。合伙协议没有约定的,由合伙人协商决定;协商不成立,按照合伙人实际的出资比例分配,无法确定出资比例的,由合伙人平均分配。

亿题库—让考试变得更简单
已有600万用户下载
