
下载亿题库APP
联系电话:400-660-1360

请谨慎保管和记忆你的密码,以免泄露和丢失

请谨慎保管和记忆你的密码,以免泄露和丢失

2019年MBA考试《数学》考试共25题,分为问题求解和条件充分性判断。小编为您整理第四章 方程与不等式5道练习题,附答案解析,供您备考练习。
1、实数k的取值范围是(-∞,2)∪(5,+∞)。()
(1)关于x的方程kx+2=5x+k的根是非负实数
(2)抛物线
位于x轴上方【条件充分性判断】
A.条件(1)充分,但条件(2)不充分
B.条件(2)充分,但条件(1)不充分
C.条件(1)和(2)单独都不充分,但条件(1)和条件(2)联合起来充分
D.条件(1)充分,条件(2)也充分
E.条件(1)和(2)单独都不充分,条件(1)和条件(2)联合起来也不充分
正确答案:E
答案解析:由条件(1),(k-5)x=k-2,
解得 k>5或k≤2,因此条件(1)不充分。
由条件(2),
成立,整理得
,条件(2)也不充分。
2、若
的解集为
,则a=()。【问题求解】
A.1
B.-1
C.0
D.2
E.-2
正确答案:E
答案解析:由已知
是方程
的两根,将x=1代入方程,
,a=-2。
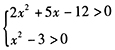
3、函数
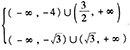
的定义域是()。【问题求解】
A.(-∞,4]∪[5,+∞)
B.(-∞,4)
C.
D.
E.
正确答案:C
答案解析:f(x)的定义域为不等式组
的解集,可得
,因此,f(x)的定义域是
4、x=-1或x=8。()
(1)
(2)
【条件充分性判断】
A.条件(1)充分,但条件(2)不充分
B.条件(2)充分,但条件(1)不充分
C.条件(1)和(2)单独都不充分,但条件(1)和条件(2)联合起来充分
D.条件(1)充分,条件(2)也充分
E.条件(1)和(2)单独都不充分,条件(1)和条件(2)联合起来也不充分
正确答案:C
答案解析:条件(1)和条件(2)单独都不充分,联合条件(1)和条件(2)。
设
,则
,
从而 a+b+c=k(a+b+c),若a+b+c=0,则有a+b=-c,a+c=-b,b+c=-a,因此
,若a+b+c≠0,则有k=1。从而 a+b=2c,a+c=2b,b+c=2a,因此
,联合条件(1)和条件(2)充分。
5、
()
(1)
(2)
A.条件(1)充分,但条件(2)不充分
B.条件(2)充分,但条件(1)不充分
C.条件(1)和(2)单独都不充分,但条件(1)和条件(2)联合起来充分
D.条件(1)充分,条件(2)也充分
E.条件(1)和(2)单独都不充分,条件(1)和条件(2)联合起来也不充分
正确答案:E
答案解析:由条件(1),可设x=3k,y =5k,从而
,即条件(1)不充分。
由条件(2),可设x=3k,y =7k,因此
,条件(2)也不充分。
05:312020-05-15
02:382020-05-15
04:042020-05-15
03:352020-05-15
04:002020-05-15

微信扫码关注公众号
获取更多考试热门资料